Welcome to Journal of Agriculture,

Journal of Agriculture ›› 2026, Vol. 16 ›› Issue (3): 16-20.doi: 10.11923/j.issn.2095-4050.cjas2024-0224

Previous Articles     Next Articles

Mitigation Effect of Growth Regulators on Low Temperature Stress to Tobacco

SUN Jiping1(), WU Zhaohui1, LI Xuejun1, SUN Huan1, WEI Fengjie2()   

  1. 1 Tobacco Research Institute, Henan Academy of Agricultural Sciences, Xuchang, Henan 461000
    2 China National Tobacco Corporation Henan Provincial Company, Zhengzhou 450018
  • Received:2024-12-24 Revised:2025-08-11 Online:2026-03-20 Published:2026-03-19

Abstract:

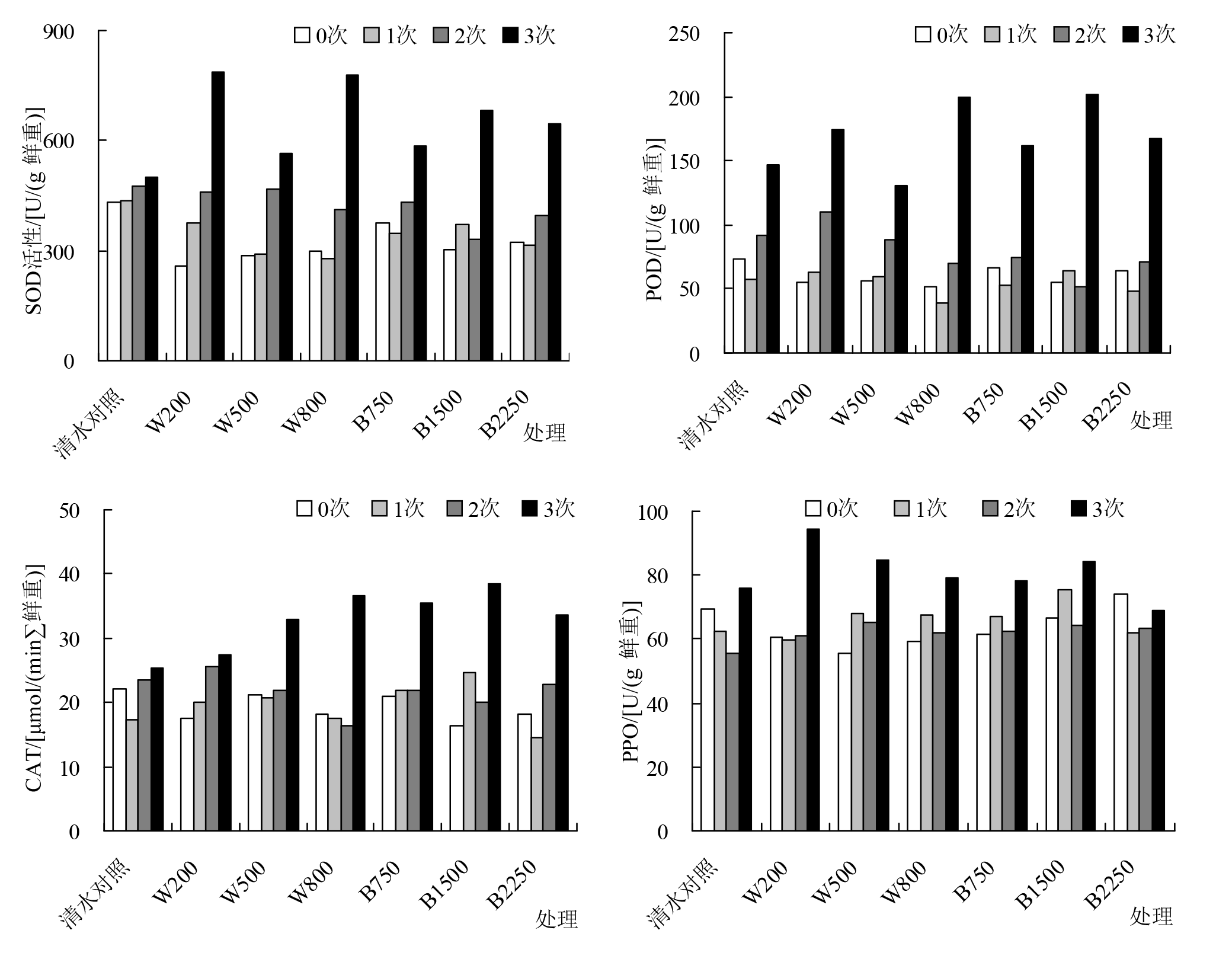
The purpose of this study is to evaluate the effect of commercial growth regulators on alleviating the harm of low temperaturestress. Tobacco seedlings were treated with artificial climate box at 8℃, and different concentrations of commercial growth regulators ‘Wotaibao’ and ‘Baiande’ were sprayed. The growth of tobacco seedlings before spraying and after spraying 1 time, 2 times and 3 times was investigated. The activities of SOD, POD, PPO and CAT in leaves were detected, and the root activity, MDA and proline content were measured. After low temperature stressat seedling stage, the root activity of tobacco seedlings showed a trend of increasing first and then decreasing; the activity of SOD showed an increasing trend; the activity of POD, CAT, PPO and proline content showed a trend of decreasing first and then increasing. The seedling index, root activity, protective enzyme activity, malondialdehyde and proline content were all increased after spraying the commercial growth regulators ‘Wotaibao’ and ‘Baiande’ at different concentrations.The strong seedling index was effectively improved after spraying ‘Wotaibao’ for 3 times, and the effects of 3 concentrations were not significantly different. Spraying ‘Wotaibao’ diluted 200 times once, and diluted 500 times and 800 times twice had the best effect on improving root activity.Spraying three times with 200 times dilution of ‘Wotaibao’ had the best effect on improving SOD and PPO enzyme activity, malondialdehyde and proline content. The root activity and seedling index were most effectively improved by spraying 750 times dilution of ‘Baiande’ for 2-3 times.The effect of increasing protective enzyme activity, malondialdehyde and proline content was the best after spraying ‘Baiande’ diluted 1500 times for 3 times. The harm of low temperature stress was alleviated through physiological index changes after spraying commercial growth regulators ‘Wotaibao’ and ‘Baiande’.Based on this, it is recommended to use ‘Wotaibao’ diluted 200 times to spray 2-3 times, or ‘Baiande’ diluted 750-1500 times to spray 2-3 times.

Key words: growth regulator, tobacco, low temperature, protective enzymes, root viability, malondialdehyde, proline