Welcome to Journal of Agriculture,

Journal of Agriculture ›› 2026, Vol. 16 ›› Issue (3): 58-64.doi: 10.11923/j.issn.2095-4050.cjas2024-0207

Previous Articles     Next Articles

Dynamic Change Analysis of Corn Residue Cover in Lishu County Based on Inversion of Tillage Index

CHENG Zhiyun1(), QU Ran1(), LU Xiangjun2, XIONG Wencheng1, ZHANG Yaqiong1, ZHU Weiwei1   

  1. 1 Satellite Environment Application Center, Ministry of Ecology and Environment, Beijing 100094
    2 4th Monitoring Station of Ecological Environment, Xinjiang Production and Construction Corps, Kekedala, Xinjiang 835900
  • Received:2024-11-09 Revised:2025-03-31 Online:2026-03-20 Published:2026-03-19

Abstract:

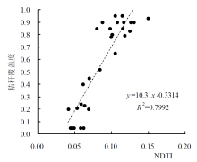
Satellite remote sensing has a wide range of applications in estimating corn residue cover and evaluating the implementation of conservation tillage methods. This study took Lishu County, Jilin Province as the study area to invert the inter-monthly and inter-annual straw coverage conditions from 2020 to 2024. The results showed that from the end of autumn harvest (late October) to the beginning of spring sowing (early April), the straw coverage rate in the whole county continued to decrease, and the low coverage areas significantly increased, and the inter-annual differences were significant. The dynamic change analysis of straw coverage in Lishu County based on the inversion of tillage index could accurately indicate the spatial and temporal distribution of straw coverage and give insights to the protective tillage practices of black soil.

Key words: straw coverage rate, conservation tillage, tillage index, remote sensing inversion, dynamic changes, Lishu County