欢迎访问《农学学报》,

农学学报 ›› 2026, Vol. 16 ›› Issue (1): 17-23.doi: 10.11923/j.issn.2095-4050.cjas2025-0079

• 土壤肥料 资源环境 生态 • 上一篇    下一篇

松嫩平原不同退化草地土壤理化性质和酶活性特征

季海蕊1,2(), 邵英男1,2, 王琪瑶1,2, 张鹤东1,2, 闫思宇1,2, 张东来1,2()   

  1. 1 黑龙江省生态研究所,哈尔滨 150081
    2 黑龙江省生态研究所森林生态与林业生态工程重点实验室,哈尔滨 150081
  • 收稿日期:2025-03-24 修回日期:2025-07-18 出版日期:2026-01-20 发布日期:2026-01-15
  • 通讯作者:
    张东来,男,1977年出生,黑龙江哈尔滨人,研究员,硕士,研究方向:生态学、森林培育。通信地址:150081 黑龙江省哈尔滨市南岗区哈平路134号 黑龙江省生态研究所,Tel:0451-86602243,E-mail:
  • 作者简介:

    季海蕊,女,1996年出生,黑龙江哈尔滨人,硕士,研究方向:生态学、微生物学。通信地址:150081 黑龙江省哈尔滨市南岗区哈平路134号 黑龙江省生态研究所,Tel:0451-86602243,E-mail:

  • 基金资助:
    黑龙江省省属科研院所科研业务费项目“松嫩平原不同退化草地土壤微生物多样性研究”(SCZ2023-01); 国家重点研发计划项目子课题“草甸草原精准放牧技术与生态系统多功能维持”(2022YFF1300603-03); 黑龙江省省属科研院所科研业务费项目“松嫰平原退化草地生物多样性与生产力的关系”(CZKYF2023-1-C046)

Characteristics of Soil Physicochemical Properties and Enzyme Activities in Different Degraded Grasslands in Songnen Plain

JI Hairui1,2(), SHAO Yingnan1,2, WANG Qiyao1,2, ZHANG Hedong1,2, YAN Siyu1,2, ZHANG Donglai1,2()   

  1. 1 Heilongjiang Ecological Institute, Harbin 150081
    2 Key Laboratory of Forest Ecology and Forestry Ecological Engineering, Heilongjiang Ecology Institute, Harbin 150081
  • Received:2025-03-24 Revised:2025-07-18 Online:2026-01-20 Published:2026-01-15

摘要:

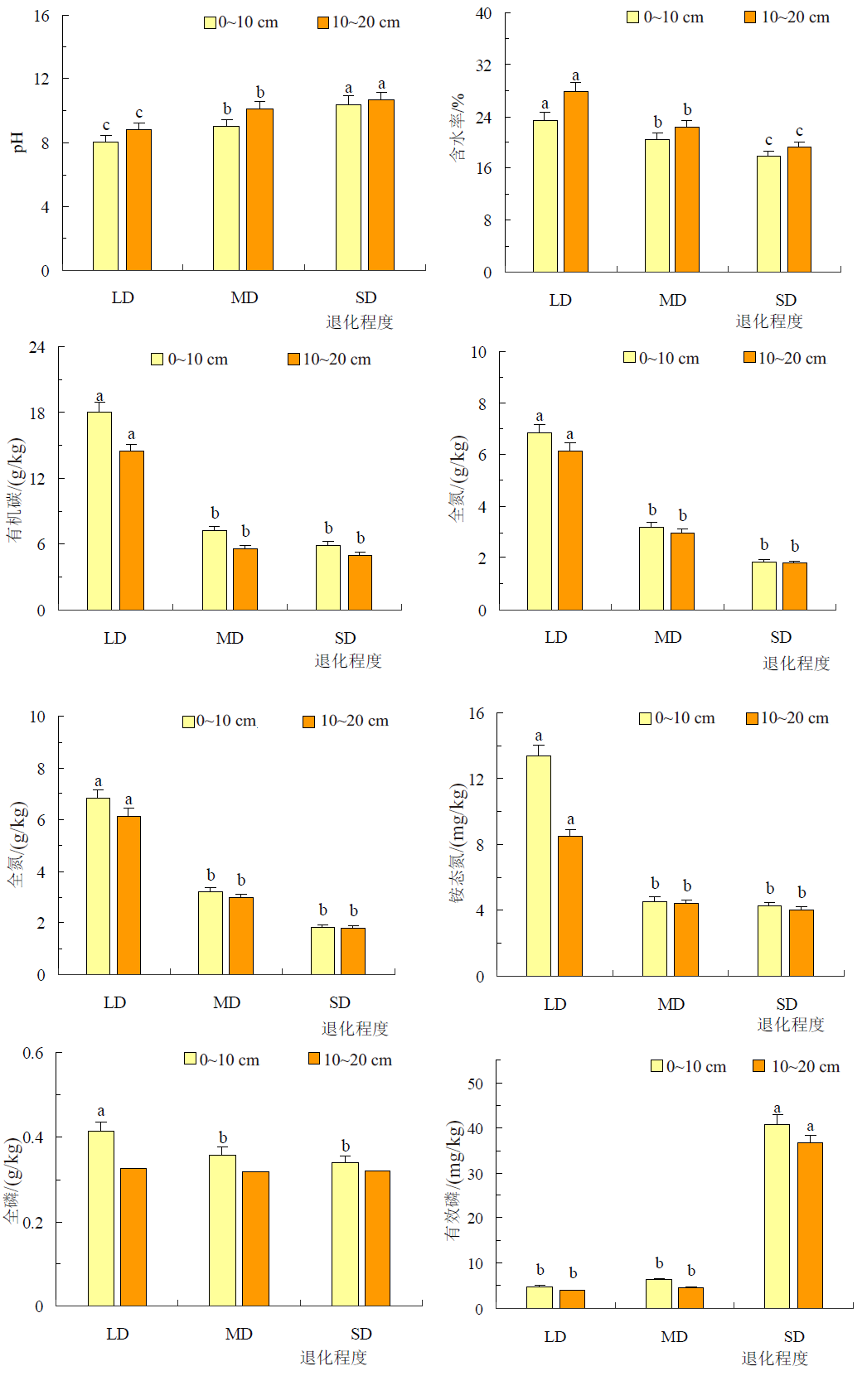
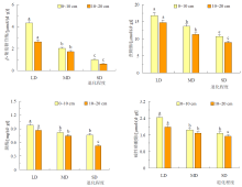
探究松嫩平原不同退化草地对土壤理化性质和酶活性的影响,旨在为退化草地的改良及生态修复提供参考依据。以黑龙江省松嫩平原为例,分析轻度(LD)、中度(MD)和重度(SD)退化草地的土壤含水率(SWC)、pH、有机碳(SOC)、全氮(TN)、碱解氮(AN)、铵态氮(NH4+-N)、全磷(TP)、有效磷(AP)、β-葡萄糖苷酶(BG)、蔗糖酶(SC)、脲酶(UE)和碱性磷酸酶(AKP)的变化特征及相互关系。结果表明:0~10、10~20 cm土层土壤pH随退化加剧呈现上升趋势。SWC随退化加重在0~10、10~20 cm土层整体呈现下降趋势,而同一退化程度中,SWC随土层深度增加而升高。除土壤TP含量在10~20 cm土层中差异不显著,其他土壤养分在同一退化草地的不同土层间无显著差异,在不同退化程度中,随退化加剧总体呈现下降趋势。0~10、10~20 cm土层的4种土壤酶BG、UE、SC、AKP酶活性均表现为随退化程度加剧呈下降趋势,各退化程度间差异显著。相关分析结果表明,0~10 cm土层SWC与SC呈显著正相关(P<0.05)。TN含量与UE呈极显著正相关(P<0.01),与BG、AKP呈显著正相关(P<0.05)。10~20 cm土层SWC与SC和AKP呈显著正相关(P<0.05)。TN含量与AKP呈显著正相关(P<0.05),而pH与AKP呈负相关(P<0.05)。由主成分分析结果可知,所选环境因素累计解释率为88.3%。综合认为,尽管土壤理化性质和酶活性在不同退化草地表现出一定的相关性,但仅有pH与土壤酶活性间呈稳定的负相关关系,故可以利用其指示退化草地土壤酶活性特征的变化。

关键词: 松嫩平原, 草地, 退化, 土壤酶活性, 理化性质

Abstract:

This study explored the effects of different degraded grasslands on soil physicochemical properties and enzyme activities in the Songnen Plain, to provide a reference basis for the improvement of degraded grassland and ecological restoration. Taking the Songnen Plain of Heilongjiang Province as an example, the variation patterns and correlation of soil water content (SWC), pH, soil organic carbon (SOC), total nitrogen (TN), alkali hydrolyzed nitrogen (AN), ammonium nitrogen (NH4+-N), total phosphorus (TP), available phosphorus (AP), soil β-glucosidase (BG), sucrase (SC), urease (UE) and alkaline phosphatase (AKP) were analyzed in slightly (LD), moderately (MD) and severely (SD) degraded grasslands. The results showed that the soil pH in the 0-10 and 10-20 cm soil layers showed an upward trend with the intensification of degradation. The SWC showed a decreasing trend in the 0-10 and 10-20 cm soil layers with the intensification of degradation, while the SWC increased with the increase of soil depth in the same degree of degradation. The only exception was that TP content in the 10-20 cm soil layer showed no significant difference in different degrees of degradation, other soil nutrients showed no significant differences among the soil layers in the same degraded grassland. In different degrees of degradation, they generally showed a downward trend with the intensification of degradation. The activities of the four soil enzymes (BG, SC, UE and AKP) in the 0-10 and 10-20 cm soil layers showed a decreasing trend with the intensification of degradation degree, and there were significant differences among the degradation degrees. The results of correlation analysis showed that the SWC was significantly positively correlated with SC in 0-10 cm soil layer (P<0.05). The TN content was significantly positively correlated with the UE (P<0.01), and significantly positively correlated with the BG and AKP (P<0.05). In 10-20 cm soil layers, the SWC was positively correlated with the SC and AKP (P<0.05). TN content was significantly positively correlated with the AKP (P<0.05), while the pH was negatively correlated with the AKP (P<0.05). The results of principal component analysis showed that the cumulative explanation rate of the selected environmental factors was 88.3%. In conclusion, it was believed that although soil physicochemical properties and enzyme activities showed certain correlations in different degraded grasslands, only pH had a stable negative correlation with soil enzyme activities. Therefore, it could be used to indicate the changes in soil enzyme activity characteristics of degraded grasslands.

Key words: Songnen Plain, grassland, degradation, soil enzyme activity, physical and chemical properties