Welcome to Journal of Agriculture,

Journal of Agriculture ›› 2026, Vol. 16 ›› Issue (3): 65-72.doi: 10.11923/j.issn.2095-4050.cjas2024-0219

Previous Articles     Next Articles

Impact of Different Cultivation Modes on Soil Active Organic Matter and Carbon Storage Management Index in Yellow River Irrigation Area

YU Zhuo1,2,3(), WANG Chengbao2,3, YANG Sicun1,2,3(), LUO Zhuzhu1, HUO Lin2,3, WEN Meijuan2,3   

  1. 1 College of Resources and Environment, Gansu Agricultural University, Lanzhou 730070
    2 Institute of Soil Fertilizer and Water-saving Agriculture, Gansu Academy of Agricultural Sciences, Lanzhou 730070
    3 National Agricultural Science Observatory and Experiment Station in Baiyin, Lanzhou 730070
  • Received:2024-12-07 Revised:2025-07-18 Online:2026-03-20 Published:2026-03-19

Abstract:

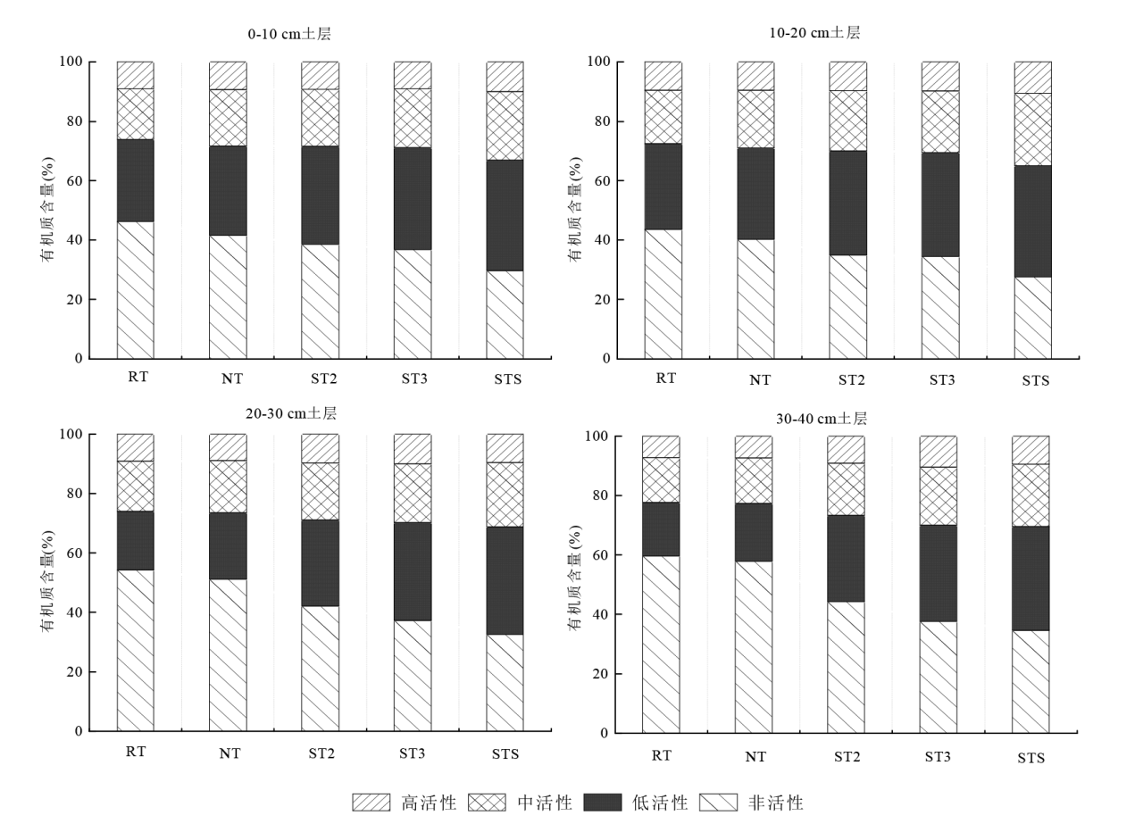
To study the effects of different tillage measures on soil active organic matter and carbon pool management index, five treatments were set up through field positioning test, including rotary tillage (RT), no-tillage (NT), deep loosening of 35 cm, deep loosening once every 2 years in the fall, and no tillage and tillage alternately (ST2), deep loosening of 35 cm, deep loosening once every 3 years in the fall, no tillage and tilling alternately (ST3), deep loosening 35 cm, deep loosening once a year, deep loosening + tilling, and all the straw returning to the field when tilling (STS), with rotary tillage (RT) as the control to compare and analyze the content of high active organic matter (H-LOM), medium active organic matter (M-LOM), low active organic matter (M-LOM) and none-active organic matter (N-LOM), and the variation characteristics of carbon pool management index (CMI) of different soil layers (0-10, 10-20, 20-30, 30-40 cm). The results showed that the STS treatment increased the total soil organic matter (TOM) by 19.73% on average compared with the RT treatment; rotational tillage and straw return significantly affected the percentage of active organic matter fractions, and the STS treatment increased the content of H-LOM, M-LOM and L-LOM by 20.65%, 34.52% and 32.69% on average, respectively compared with the RT treatment; the carbon pool index (CPI) of the NT, ST2, ST3 and STS treatments was higher than that of RT treatment and with different degrees of increase in organic matter content; compared with RT treatment, the carbon pool management indexes of NT, ST2, ST3 and STS treatments with high, medium and low active organic matter were greater than 100, and STS treatment had the highest CPI up to 421.21. Comprehensive analysis, the STS treatments could be used as an effective tillage method to increase soil organic matter content on a large scale.

Key words: cultivation mode, active organic matter, active organic matter components, carbon pool management index