欢迎访问《农学学报》,

农学学报 ›› 2025, Vol. 15 ›› Issue (11): 49-57.doi: 10.11923/j.issn.2095-4050.cjas2025-0012

• 土壤肥料 资源环境 生态 • 上一篇    下一篇

菌肥配施氨基酸水溶肥对烤烟根际土壤微生态环境及生长的影响

杨启港1(), 胡荣华2, 王政1, 赵东杰1, 敖金成3()   

  1. 1 广西中烟工业有限责任公司,南宁 530001
    2 云南省烟草公司文山州烟草公司,云南文山 663200
    3 文山学院,云南文山 663000
  • 收稿日期:2025-01-09 修回日期:2025-08-25 出版日期:2025-11-20 发布日期:2025-11-19
  • 通讯作者:
    敖金成,男,1984年出生,云南曲靖人,高级工程师,博士,主要从事根际微生态调控与作物病害防治技术研究。通信地址:663000 云南省文山州开化街道办学府路66号 文山学院,Tel:0876-2154540,E-mail:
  • 作者简介:

    杨启港,男,1974年出生,广西北海人,农艺师,本科,研究方向:烟叶原料开发新技术研究。通信地址:530001 广西南宁市西乡塘区北湖南路28号,Tel:0771-3998378,E-mail:

  • 基金资助:
    广西中烟工业有限责任公司科技项目“基于土壤保育的烤烟提质增效关键技术研究与应用”(GXZYCX2022B009); “滇东南基地烤烟提质增效关键技术研究与应用”(GXZYCX2021B009)

Effects of Bacterial Fertilizer Combined with Amino Acid Water-soluble Fertilizer on Rhizosphere Soil Micro-ecological Environment and Growth of Tobacco Plants

YANG Qigang1(), HU Ronghua2, WANG Zheng1, ZHAO Dongjie1, AO Jincheng3()   

  1. 1 Guangxi Tobacco Industry Co., Ltd., Nanning 530001
    2 Wenshan Branch of Yunnan Provincial Tobacco Company,Wenshan, Yunnan 663200
    3 University of Wenshan, Wenshan, Yunnan 663000
  • Received:2025-01-09 Revised:2025-08-25 Online:2025-11-20 Published:2025-11-19

摘要:

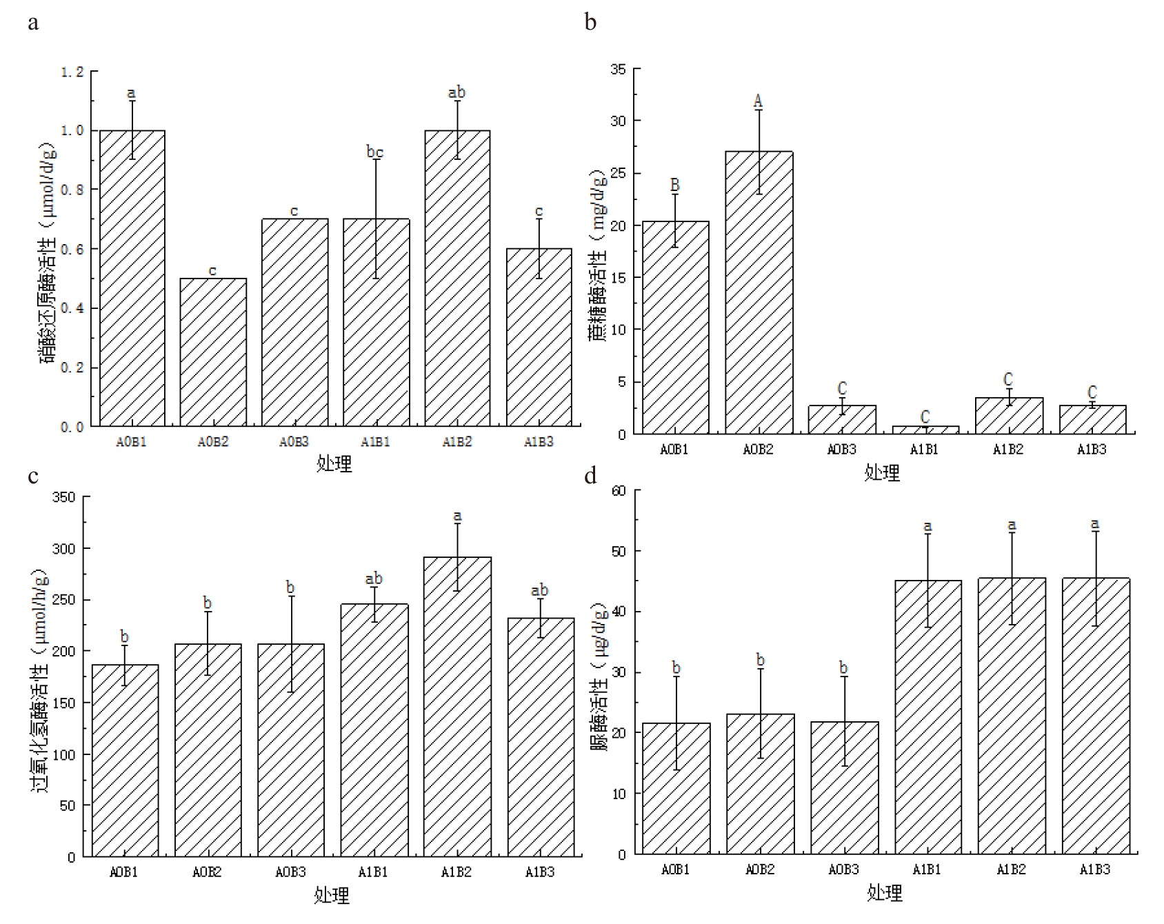
为深入探究控肥条件下菌肥与氨基酸水溶肥配施对烟株根际土壤微生态环境及生长的影响,本研究开展了大田试验。以常规施肥作为对照,系统研究了减氮10%条件下菌肥配施氨基酸水溶肥对烟株生长状况、根际土壤理化性质、酶活性、细菌群落结构及其多样性的影响。研究结果显示:相较于A0B1处理,在减氮10%的条件下,菌肥与氨基酸水溶肥配施呈现出多方面的效果。其一,显著提高了烟株根际土壤中养分的含量,具体包括有机质、碱解氮和有效磷,同时提升了过氧化氢酶和脲酶的活性,而硝酸还原酶活性则有不同程度的降低。其二,提高了烟株根际土壤细菌和真菌群落的多样性与相对丰度,增加了特有细菌、真菌的种类,以及优势菌绿弯菌门(Chloroflexi)、酸杆菌门(Acidobacteria)、芽单胞菌门(Gemmatimonadetes)的相对丰度,同时降低了放线菌门(Actinobacteria)和根肿黑粉菌门(Entorrhizomycota)优势菌门的相对丰度。其三,冗余分析结果表明,pH和有效磷是影响烟株根际土壤微生物群落的关键环境因子。其中,pH与细菌、真菌群落相对丰度呈正相关,而有效磷与细菌群落相对丰度呈负相关。其四,该配施方式对烟株的生长发育起到了促进作用,有利于叶片的舒展。总体而言,在减氮10%的条件下,菌肥+75.0 kg/hm2氨基酸水溶肥处理(A1B3)在烟田土壤改良和烤烟促生方面表现出较佳的效果。本研究结果为烤烟栽培过程中的控肥措施以及土壤的可持续利用提供了一定的理论依据。

关键词: 高通量测序, 烤烟, 氨基酸水溶肥, 生物多样性, 根际土壤

Abstract:

To investigate the effects of bacterial fertilizer and amino water-soluble fertilizer combined application on rhizosphere soil and growth of tobacco plants under the condition of chemical fertilizer control, a field experiment was conducted to study the effects of bacterial fertilizer combined with amino water-soluble fertilizer on tobacco plant growth, rhizosphere soil physical and chemical properties, enzyme activity, bacterial community structure and diversity under the condition of 10% nitrogen reduction, with conventional fertilization as control (A0B1). The results showed that compared with A0B1, under the condition of 10% nitrogen reduction, bacterial fertilizer combined with amino water-soluble fertilizer showed various effects. (1) The contents of organic matter, alkali-hydrolyzable nitrogen and available P and the activity of catalase and urease in rhizosphere soil increased, and the activity of nitrate reductase decreased. (2) The diversity and relative abundance of bacteria and fungi in rhizosphere soil were increased, the relative abundance of specific bacteria, fungi and dominant bacteria (Chloroflexi, Acidobacteria and Gemmatimonadetes) increased, and the relative abundance of dominant bacteria (Actinobacteria and Entorrhizomycota) decreased. (3) Redundancy analysis showed that soil pH was the key environmental factor positively correlated with the abundance of bacterial and fungal communities, and available P was negatively which correlated with the relative abundance of bacterial communities. (4) This combined application method promoted the growth and development of tobacco and leaf opening. In general, under the condition of 10% nitrogen reduction, the application of bacterial fertilizer combined with amino soluble fertilizer can improve the rhizosphere soil nutrient level, improve the rhizosphere micro-ecological environment, and promote the growth and development of tobacco plants, the overall effect of bacterial fertilizer+75.0 g/hm2 amino water-soluble fertilizer treatment(A1B3) is better.

Key words: high-throughput sequencing, flue-cured tobacco, amino water-soluble fertilizer, biodiversity, rhizosphere soil