欢迎访问《农学学报》,

农学学报 ›› 2025, Vol. 15 ›› Issue (10): 45-52.doi: 10.11923/j.issn.2095-4050.cjas2024-0026

• 土壤肥料资源环境生态 • 上一篇    下一篇

化肥减量配施有机肥对烤烟氮代谢及产质量形成的影响

杨振1(), 钟国兴2, 李淮源3, 胡欢1, 梁耀星4, 雷文杰1, 黄瑞寅4, 邓世媛2()   

  1. 1 湖南省烟草公司衡阳市公司, 湖南衡阳 421000
    2 华南农业大学烟草研究室, 广州 510642
    3 植物生物学基础国家级实验教学示范中心(华南农业大学)/华南农业大学基础实验与实践训练中心, 广州 510642
    4 广东中烟工业有限责任公司, 广州 510610
  • 收稿日期:2024-01-29 修回日期:2024-06-09 出版日期:2025-10-20 发布日期:2025-10-17
  • 通讯作者:
    邓世媛,女,1975年出生,湖北恩施人,副教授,博士,研究方向:烟草栽培生理与品质调控。通信地址:510642 广东省广州市天河区五山路483号 华南农业大学农学院,Tel:020-85285752,E-mail:
  • 作者简介:

    杨振,男,1978年出生,湖南永州人,经济师,学士,研究方向:烟叶生产管理。通信地址:421131 湖南省烟草公司衡阳市公司衡南县分公司,E-mail:

  • 基金资助:
    湖南省烟草公司衡阳市公司科技项目“基于双喜品牌需求的衡阳高端烟叶质量提升技术研究与示范”(2021430422200010)

Effects of Fertilizer Reduction Combined with Organic Fertilizer on Nitrogen Metabolism and Formation of Yield and Quality of Flue-cured Tobacco

YANG Zhen1(), ZHONG Guoxing2, LI Huaiyuan3, HU Huan1, LIANG Yaoxing4, LEI Wenjie1, HUANG Ruiyin4, DENG Shiyuan2()   

  1. 1 Hengyang Branch of Hunan Tobacco Corporation, Hengyang Hunan 421000
    2 Tobacco Research Laboratory, South China Agricultural University, Guangzhou 510642
    3 National Demonstration Center for Experimental Essentials of Plant Biology Education (SCAU)/Center for Basic Experiment and Practice Training, South China Agricultural University, Guangzhou 510642
    4 China Tobacco Guangdong Industry Co., Ltd., Guangzhou 510610
  • Received:2024-01-29 Revised:2024-06-09 Online:2025-10-20 Published:2025-10-17

摘要:

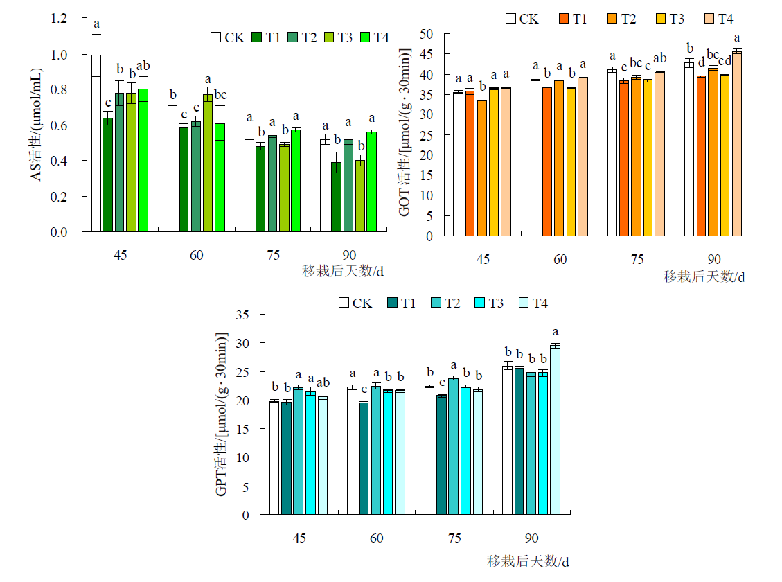
为探究化肥减量条件下配施有机肥在烤烟生长及氮代谢中的作用,采用大田试验,以烤烟品种‘云烟87’为试验材料,设置常规施肥(CK)、化肥减量10% (T1)、化肥减量10%+芝麻饼(T2)、化肥减量10%+腐殖酸(T3)、化肥减量10%+芝麻饼+腐殖酸(T4) 5种处理,研究减肥配施不同有机肥对烤烟农艺性状、干物质积累、氮代谢相关指标、化学成分及经济性状等的影响。结果表明:化肥减量使烟株农艺性状指标降低、干物质积累量下降。配施有机肥促进了烟株生长和干物质积累,与化肥减量处理相比,株高增加2.18%~5.28%,茎围增加5.84%~9.06%,干物质积累增加26.80%~39.88%。配施有机肥对氮代谢有一定促进作用,不同程度提高SPAD值,增加蛋白质含量,提升天冬酰胺合成酶、谷氨酸草酰乙酸转氨酶和谷丙转氨酶活性。配施有机肥提高了产量和产值,比化肥减量处理分别提高6.32%~14.57%和3.35%~14.55%,与CK相比也增加2.61%~10.58%和2.79%~13.93%;氮肥偏生产力和氮肥偏生产效率分别比化肥减量处理提高6.32%~14.57%和3.35%~14.55%,与CK相比也提高14.01%~22.86%和14.21%~26.59%。配施有机肥对于化肥减量导致的烟碱、总氮、钾含量下降以及糖含量和糖碱比提高有一定的缓解作用,化学成分及其协调性指标更加接近于优质烟叶适宜范围。研究发现,配施有机肥可提高烤烟产量、产值、上等烟比例和中上等烟比例,以化肥减量配施芝麻饼肥效果最佳。研究以期为衡阳区域内烟叶生产合理施肥提供指导。

关键词: 烤烟, 化肥减量, 有机肥, 氮代谢, 产质量, 氮肥效益

Abstract:

To explore the role of organic fertilizer application in the growth and nitrogen metabolism of flue-cured tobacco under the condition of chemical fertilizer reduction, the field experiment was conducted. Using flue-cured tobacco variety ‘Yunyan 87’ as the test material, five treatments were set up, including conventional fertilization (CK), chemical fertilizer reduction of 10% (T1), chemical fertilizer reduction of 10% + sesame cake (T2), chemical fertilizer reduction of 10% + humic acid (T3), chemical fertilizer reduction of 10% + sesame cake + humic acid (T4), to study the effects of fertilizer reduction combined with different organic fertilizers on the agronomic traits, dry matter accumulation, nitrogen metabolism related indicators, chemical composition and economic traits of flue-cured tobacco. The results showed that the reduction of chemical fertilizer reduced the agronomic traits and dry matter accumulation of tobacco plants. Compared with the chemical fertilizer reduction treatment, the plant height increased by 2.18%-5.28%, the stem circumference increased by 5.84%-9.06%, and the dry matter accumulation increased by 26.80%-39.88% in the organic fertilizer application treatments, respectively. Combined application of organic fertilizer had a certain effect on nitrogen metabolism, increased SPAD value, protein content, and the activities of asparagine synthetase, glutamic oxaloacetate aminotransferase and alanine aminotransferase to varying degrees. The combined application of organic fertilizer increased the yield and output value by 6.32%-14.57% and 3.35%-14.55%, respectively, compared with the chemical fertilizer reduction treatment, and also increased by 2.61%-10.58% and 2.79%-13.93% compared with CK; compared with the chemical fertilizer reduction treatment, the partial productivity of nitrogen fertilizer and the partial production efficiency of nitrogen fertilizer increased by 6.32%-14.57% and 3.35%-14.55%, respectively, and also increased by 14.01%-22.86% and 14.21%-26.59% compared with CK. The combined application of organic fertilizer has a certain alleviating effect on the decrease of nicotine, total nitrogen and potassium content, and the increase of sugar content and sugar-alkali ratio caused by chemical fertilizer reduction, and the chemical composition and coordination index are closer to the suitable range of high-quality tobacco leaves. In terms of comprehensive effect, sesame cake fertilizer is the best.

Key words: flue-cured tobacco, fertilizer reduction, organic fertilizer, nitrogen metabolism, production quality, benefit of nitrogen fertilizer