欢迎访问《农学学报》,

农学学报 ›› 2025, Vol. 15 ›› Issue (11): 15-22.doi: 10.11923/j.issn.2095-4050.cjas2025-0070

• 土壤肥料 资源环境 生态 • 上一篇    下一篇

不同生态条件下航天诱变当归的适应性比较分析

阮梓晗(), 郭凤霞(), 吴迪, 刘媛媛, 王红燕   

  1. 甘肃农业大学生命科学技术学院/甘肃农业大学农学院/干旱生境作物学国家重点实验室,兰州 730070
  • 收稿日期:2025-03-23 修回日期:2025-04-11 出版日期:2025-11-20 发布日期:2025-11-19
  • 通讯作者:
    郭凤霞,女,1963年出生,甘肃定西人,教授,博士,主要从事药用植物生态有机栽培育种研究。通信地址:743000 甘肃省陇西城区西园路,E-mail:
  • 作者简介:

    阮梓晗,男,1997年出生,重庆人,硕士,主要从事药用植物生态有机栽培与育种研究。通信地址:730070 兰州市安宁区营门村一号 甘肃农业大学综合服务中心,E-mail:

  • 基金资助:
    企业委托项目“中药材当归及黄芪航天育种项目”(XDZY-(2017~2025)115,2017-2025 年)); 甘肃省道地中药材优势特色产业集群“良种繁育建设”(2022GSCYJQ07-33); 2022年现代丝路寒旱农业科技支撑项目“甘肃中药材绿色标准化基地与GAP基地”(GSLK-2022-6); 甘肃省现代农业中药材产业体系首席专家(GARS-ZYC-1)

Comparative Analysis of Adaptability of Space-Mutagenized Angelica sinensis Under Different Ecological Conditions

RUAN Zihan(), GUO Fengxia(), WU Di, LIU Yuanyuan, WANG Hongyan   

  1. School of Life Science and Technology, Gansu Agricultural University/School of Agriculture, Gansu Agricultural University/State Key Laboratory of Crop Science in Arid Land Environments, Lanzhou 730070
  • Received:2025-03-23 Revised:2025-04-11 Online:2025-11-20 Published:2025-11-19

摘要:

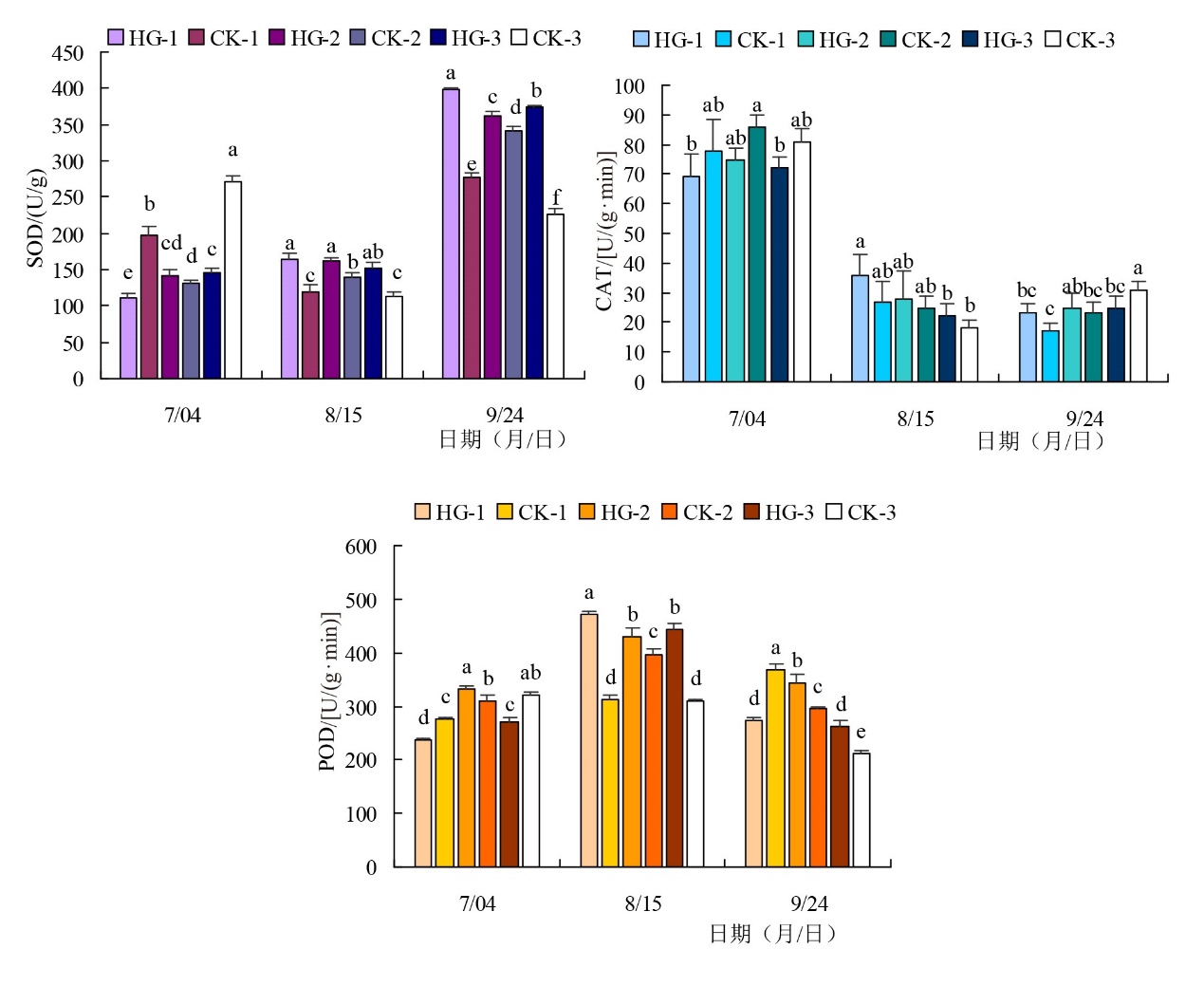
本研究旨在探究航天诱变当归新品种在不同生态条件下的适应性。以航天诱变当归22H SP3代种苗为对象,选取优良品(株)系‘航归22H’(HG)、‘岷归1号’(CK),分别移栽至禾驮乡石家台村(HG-1、CK-1)、岷县寺沟镇(HG-2、CK-2)、卓尼县羊化村(HG-3、CK-3)进行多点成药期比较试验。结果表明,不同生态条件下‘航归22H’出现不同的形态差异,在营养生长阶段期间,移栽至卓尼县羊化村的植株群体长势最好,对照性状均大于航天诱变群体;生长前期,移栽至岷县禾驮乡石家台村的诱变植株群体,海拔高、温度较低、抗氧化能力弱、过氧化程度高,生长中后期处于高海拔地区的航天诱变群体展现出较强的适应能力,抗氧化能力变强、过氧化程度减少,表明其具备低温适应性;不同生态环境下‘航归22H’的阿魏酸和浸出物含量均大于对照,与降雨量、土壤含水量、全氮、有机质呈极显著正相关,与有效磷、速效钾和昼夜温差呈显著负相关。综上所述,航天诱变群体在不同生态条件下表现出一定的形态和生理差异,移栽至卓尼县羊化村的植株长势最佳,而岷县禾驮乡石家台村(HG-1)和岷县寺沟镇(HG-2)的植株在生长中后期展现出一定的适应能力,为中药材的现代化育种和生态调控提供了重要依据。

关键词: 当归, 航天诱变, 成药期, 阿魏酸, 浸出物, 生态条件, 适应性, 形态差异, 生理特性, 相关性

Abstract:

To investigate the adaptability of aerospace induced mutation Angelica sinensis (variety) under different ecological conditions, this study conducted a multi-site comparative trial using SP3 generation seedlings of the space-mutated ‘Hanggui 22H’ (HG) and the control variety ‘Mingui No.1’ (MG). These were transplanted to three distinct ecological regions: Shijiatai Village of Hetuo Township (HG-1, CK-1), Sigou Town of Min County (HG-2, CK-2) and Yanghua Village of Zhuoni County (HG-3, CK-3). The results showed that under different ecological conditions, ‘Hanggui 22H’ showed different morphological differences. During the vegetative growth stage, the plant population transplanted to Yanghua Village had the best growth vigor, and all the control traits were greater than those of the space-mutated population. During the early growth stage, the mutant plant population transplanted to Shijiatai Village was located at a high altitude with low temperature, and had weak antioxidant capacity and high peroxidation degree. In the middle and late growth stages, the mutant plant population in the high-altitude area showed strong adaptability, with enhanced antioxidant capacity and reduced peroxidation degree, indicating that it had cold adaptation ability. Under different ecological environments, the ferulic acid and extractable substances content of ‘Huanhui 22H’ were both higher than those of the control group, and positively correlated with rainfall, soil moisture content, total nitrogen and organic matter, and negatively correlated with available phosphorus, quick-release potassium and diurnal temperature difference. In summary, the aerospace induced mutation population exhibited certain morphological and physiological differences under different ecological conditions. The transplanted plants in Yanghua Village had the best growth vigor, while the plants in Shijiatai Village (HG-1) and Sigou Town (HG-2) showed certain adaptability during the growth middle and late stages, providing important basis for the modernization breeding and ecological regulation of Chinese medicinal materials.

Key words: Angelica sinensis, aerospace induced mutation, pharmaceutical period, ferulic acid, leachate, ecological conditions, adaptability, morphological differences, physiological characteristics, correlation