欢迎访问《农学学报》,

农学学报 ›› 2025, Vol. 15 ›› Issue (10): 37-44.doi: 10.11923/j.issn.2095-4050.cjas2024-0167

• 土壤肥料资源环境生态 • 上一篇    下一篇

基于“3414”方案的长喙乌头氮磷钾施肥量研究

康平德(), 杨少华, 戚淑威, 徐天才, 程远辉, 杨丽云, 袁慧娟, 陈翠()   

  1. 云南省农业科学院高山经济植物研究所, 云南丽江 674199
  • 收稿日期:2024-08-15 修回日期:2025-02-17 出版日期:2025-10-20 发布日期:2025-10-17
  • 通讯作者:
    陈翠,女,1975年出生,云南永胜人,研究员,硕士,主要从事药用植物开发利用研究。通信地址:674199 云南省丽江市古城区义正街古路坞下段33号,Tel:0878-5121385,E-mail:
  • 作者简介:

    康平德,男,1978年出生,云南麒麟人,副研究员,硕士,主要从事药用植物资源和栽培研究。通信地址:674199 云南省丽江市古城区义正街古路坞下段33号,Tel:0878-5121385,E-mail:

  • 基金资助:
    云南省财政厅“高山农业科技创新及成果展示转化专项经费”(云财农[2024]8号); 基础研究计划“滇西北重要野生植物种质资源发掘利用—植物种质资源收集、扩繁工厂建设与利用”(202101BC070003-51); 丽江现代中药材产业技术体系综合试验站(丽财农〔2023〕106号)

Study on Application Rates of Nitrogen, Phosphorus and Potassium Fertilizer in Aconitum georgei Comber. Cultivation Based on ‘3414’ Experiment

KANG Pingde(), YANG Shaohua, QI Shuwei, XU Tiancai, CHENG Yuanhui, YANG Liyun, YUAN Huijuan, CHEN Cui()   

  1. Institute of Alpine Economic Plant, Yunnan Academy of Agricultural Sciences, Lijiang Yunnan 674199
  • Received:2024-08-15 Revised:2025-02-17 Online:2025-10-20 Published:2025-10-17

摘要:

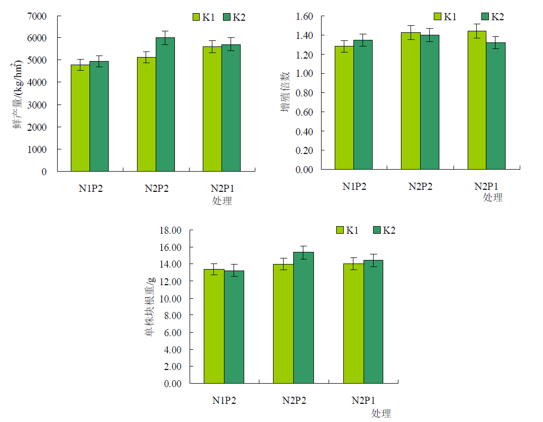
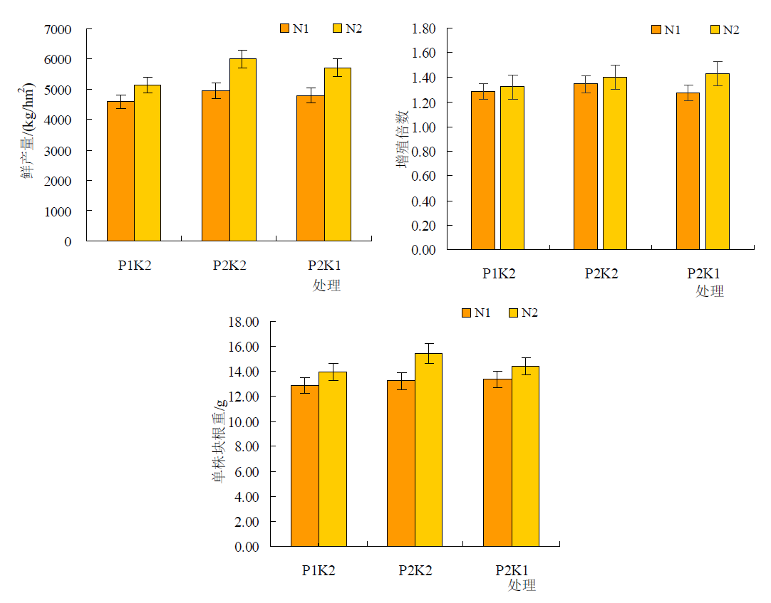
本研究旨在探究云南丽江长喙乌头种植最佳施肥配比和施肥量,为长喙乌头化肥减量增效栽培提供合适的施肥方案,基于“3414”试验方案研究了不同的氮、磷、钾肥配施对长喙乌头产量、块根增殖倍数和块根重量的影响;分析了氮、磷、钾肥交互效应,用氮磷钾肥效应函数方程拟合其施肥用量。结果表明:不同施肥处理对长喙乌头鲜根产量、块根重有极显著影响、对长喙乌头块根增殖倍数影响不显著;3种肥料对产量的影响大小顺序为P肥>N肥>K肥,且以适当施氮和磷的效果为最佳;处理N2P2K3的产量、块根增殖倍数和块根重量最佳,各为6512.39 kg/hm2、1.51倍、15.55 g/个;氮磷钾肥对乌头产量的影响有互作效应;三元二次肥效函数为非典型肥效模型,拟合的二元和一元肥效函数不理想,采用产量频率分析法来确定适合的推荐肥料施用量。本研究最佳施肥配比为N2P2K3(氮、磷和钾的施肥量分别为138.00、120.00、351.00 kg/hm2)处理;中磷、中钾施肥量有益氮肥发挥作用,中氮、中钾施肥量有益磷肥发挥作用,而中氮、中磷水平有益钾肥发挥作用;用产量频率分析法,得到当地推荐的肥料施用量氮肥99.66~127.21 kg/hm2、磷肥80.94~110.42 kg/hm2、钾肥157.82~215.32 kg/hm2时,对应施肥配比为1:0.64~1.10:1.24~2.16。

关键词: 长喙乌头, “3414”试验设计, 施肥配比, 化肥减量增效, 产量频率分析法, 产量, 块根增殖倍数, 单株块根重量

Abstract:

To explore the optimal fertilization ratio and amount of Aconitum georgei Comber. in Lijiang City, Yunnan Province, and to provide suitable fertilization scheme for fertilizer reduction and efficiency enhancement of the Aconitum georgei Comber, the effects of different nitrogen, phosphorus and potassium ratios on the yield, growth multiple and individual weight of the fresh roots tuber of Aconitum georgei Comber. were studied based on the ‘3414’ fertilization design. Application amount of N, P and K was simulated using fertilizer effect function equation, and the interaction effects of N, P and K was analyzed.The results showed that the ratio of N, P and K had significant effects on root stock yield and weight of roots tuber, but had no significant effect on multiple of roots tuber. The effect of the three kinds of fertilizers on the yield was P fertilizer>N fertilizer>K fertilizer, and the effect of appropriate nitrogen and phosphorus was the best; The actual roots tuber yield, growth multiple and individual weight of the N2P2K3 were the highest, which was 6512.39 kg/hm2, 1.51 times and 15.55 g every individual, respectively; effect of N, P and K on roots tuber yield of Aconitum georgei Comber. was interactive. The regression analysis results showed an atypical ternary quadratic fertilizer effect model existing between N, P and K fertilization rates and roots tuber yield, but binary quadratic function and unary quadratic function failed to give proper regression. Yield frequency analysis was used to determine the proper recommended fertilizer application amount. The optimal fertilization ratio was N2P2K3 (nitrogen, phosphorus and potassium were 138.00, 120.00 and 351.00 kg/hm2, respectively); a combination medium P and medium K was advantageous to N efficiency, a combination medium N and medium K was advantageous to P efficiency, a combination medium N and medium P was beneficial to K efficiency. The recommended amount of nitrogen fertilizer was 99.66-127.21 kg/hm2, phosphorus fertilizer was 80.94-110.42 kg/hm2 and potassium fertilizer was 157.82-215.32 kg/hm2, the corresponding ratio was 1:0.64-1.10:1.24-2.16 by the roots tuber yield frequency analysis.

Key words: Aconitum georgei Comber., ‘3414’ experiment scheme, fertilization ratio, fertilizer reduction and efficiency enhancement, yield frequency analysis, yield, growth multiple of roots tuber, individual weight of roots tuber