农学学报 ›› 2026, Vol. 16 ›› Issue (2): 1-8.doi: 10.11923/j.issn.2095-4050.cjas2024-0223
• 农艺科学 生理生化 • 下一篇
收稿日期:2024-12-24
修回日期:2025-03-31
出版日期:2026-02-20
发布日期:2026-02-12
通讯作者:
作者简介:王映红,女,1975年出生,河南新乡人,研究员,硕士,研究方向:小麦遗传育种。通信地址:453002 河南省新乡市新二街518号 新乡市农业科学院,Tel:0373-3670709,E-mail:wyh7509@126.com。
基金资助:
WANG Yinghong(
), LI Xiaohang, LI Yongzhen, MA Huaping, DONG Yun(
)
Received:2024-12-24
Revised:2025-03-31
Online:2026-02-20
Published:2026-02-12
摘要:
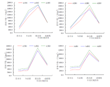
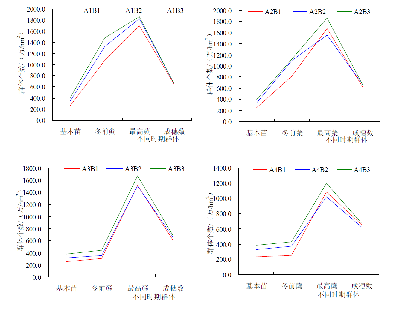
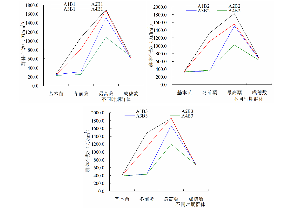
为筛选出‘新麦58’适宜的播期和种植密度组合,本研究于2023—2024年度在河南省郸城县国家农高区示范园内开展,试验采用两因素裂区设计,播期设为主区,播量设为副区。主区设置4个播期,分别为10月17日、10月25日、11月1日、11月8日;副区设置3种不同播量,分别为150、187.5、225 kg/hm2,旨在探索不同播期和种植密度对‘新麦58’生育时期、不同时期群体、干物质积累、株高、产量及产量三要素的影响。结果表明:在生育时期方面,随着播期的推迟,各个生育时期均相应推迟,但生育期有所缩短,而种植密度对生育时期的影响较小。在群体影响方面,不同播期对各个时期的群体影响较小,播量是影响群体的主要因素。在干物质和产量方面,不同处理对干物质重量和产量的影响表现不一致。晚播会影响干物质积累,但加大播量,可以弥补产量的损失。在产量三要素及株高方面,影响成穗数的主要因素是播量,而播期对穗粒数、千粒重和株高均有较大影响,不同处理及处理间互作,产量均有显著性差异。综合各项指标得出,‘新麦58’的适宜播期为10月17日—25日,适宜播量为187.5 kg/hm2,若播期偏晚,适当加大播量可以提高产量水平。
王映红, 李晓航, 李永珍, 马华平, 董昀. 种植密度和播期对强筋小麦‘新麦58’农艺性状及产量的影响[J]. 农学学报, 2026, 16(2): 1-8.
WANG Yinghong, LI Xiaohang, LI Yongzhen, MA Huaping, DONG Yun. Effects of Planting Density and Sowing Date on Yield and Agronomic Characteristics of Strong Gluten Wheat Variety ‘Xinmai 58’[J]. Journal of Agriculture, 2026, 16(2): 1-8.
| 播期 | 播种密度 | ||
|---|---|---|---|
| B1(150 kg/hm2) | B2(187.5 kg/hm2) | B3(225 kg/hm2) | |
| A1(10月17日) | A1B1 | A1B2 | A1B3 |
| A2(10月25日) | A2B1 | A2B2 | A2B3 |
| A3(11月1日) | A3B1 | A3B2 | A3B3 |
| A4(11月8日) | A4B1 | A4B2 | A4B3 |
| 播期 | 播种密度 | ||
|---|---|---|---|
| B1(150 kg/hm2) | B2(187.5 kg/hm2) | B3(225 kg/hm2) | |
| A1(10月17日) | A1B1 | A1B2 | A1B3 |
| A2(10月25日) | A2B1 | A2B2 | A2B3 |
| A3(11月1日) | A3B1 | A3B2 | A3B3 |
| A4(11月8日) | A4B1 | A4B2 | A4B3 |
| 处理 | 播种期 | 出苗期 | 分蘖期 | 越冬期 | 返青期 | 起身期 | 拔节期 | 抽穗期 | 开花期 | 成熟期 |
|---|---|---|---|---|---|---|---|---|---|---|
| A1B1 | 10/17 | 10/23 | 11/22 | 12/18 | 2/27 | 3/9 | 3/16 | 4/14 | 4/19 | 5/25 |
| A1B2 | 10/17 | 10/23 | 11/22 | 12/18 | 2/27 | 3/9 | 3/16 | 4/14 | 4/19 | 5/25 |
| A1B3 | 10/17 | 10/23 | 11/22 | 12/18 | 2/27 | 3/9 | 3/16 | 4/14 | 4/19 | 5/25 |
| A2B1 | 10/25 | 10/31 | 12/3 | 12/18 | 2/27 | 3/9 | 3/16 | 4/16 | 4/20 | 5/25 |
| A2B2 | 10/25 | 10/31 | 12/3 | 12/18 | 2/27 | 3/9 | 3/16 | 4/16 | 4/20 | 5/26 |
| A2B3 | 10/25 | 10/31 | 12/3 | 12/18 | 2/27 | 3/9 | 3/16 | 4/16 | 4/20 | 5/26 |
| A3B1 | 11/1 | 11/9 | 12/11 | 12/18 | 3/1 | 3/11 | 3/19 | 4/18 | 4/22 | 5/26 |
| A3B2 | 11/1 | 11/9 | 12/11 | 12/18 | 3/1 | 3/11 | 3/19 | 4/18 | 4/22 | 5/27 |
| A3B3 | 11/1 | 11/9 | 12/11 | 12/18 | 3/1 | 3/11 | 3/19 | 4/18 | 4/22 | 5/27 |
| A4B1 | 11/8 | 11/20 | 12/17 | 12/18 | 3/1 | 3/11 | 3/19 | 4/19 | 4/23 | 5/27 |
| A4B2 | 11/8 | 11/20 | 12/17 | 12/18 | 3/1 | 3/11 | 3/19 | 4/19 | 4/23 | 5/28 |
| A4B3 | 11/8 | 11/20 | 12/17 | 12/18 | 3/1 | 3/11 | 3/19 | 4/19 | 4/23 | 5/28 |
| 处理 | 播种期 | 出苗期 | 分蘖期 | 越冬期 | 返青期 | 起身期 | 拔节期 | 抽穗期 | 开花期 | 成熟期 |
|---|---|---|---|---|---|---|---|---|---|---|
| A1B1 | 10/17 | 10/23 | 11/22 | 12/18 | 2/27 | 3/9 | 3/16 | 4/14 | 4/19 | 5/25 |
| A1B2 | 10/17 | 10/23 | 11/22 | 12/18 | 2/27 | 3/9 | 3/16 | 4/14 | 4/19 | 5/25 |
| A1B3 | 10/17 | 10/23 | 11/22 | 12/18 | 2/27 | 3/9 | 3/16 | 4/14 | 4/19 | 5/25 |
| A2B1 | 10/25 | 10/31 | 12/3 | 12/18 | 2/27 | 3/9 | 3/16 | 4/16 | 4/20 | 5/25 |
| A2B2 | 10/25 | 10/31 | 12/3 | 12/18 | 2/27 | 3/9 | 3/16 | 4/16 | 4/20 | 5/26 |
| A2B3 | 10/25 | 10/31 | 12/3 | 12/18 | 2/27 | 3/9 | 3/16 | 4/16 | 4/20 | 5/26 |
| A3B1 | 11/1 | 11/9 | 12/11 | 12/18 | 3/1 | 3/11 | 3/19 | 4/18 | 4/22 | 5/26 |
| A3B2 | 11/1 | 11/9 | 12/11 | 12/18 | 3/1 | 3/11 | 3/19 | 4/18 | 4/22 | 5/27 |
| A3B3 | 11/1 | 11/9 | 12/11 | 12/18 | 3/1 | 3/11 | 3/19 | 4/18 | 4/22 | 5/27 |
| A4B1 | 11/8 | 11/20 | 12/17 | 12/18 | 3/1 | 3/11 | 3/19 | 4/19 | 4/23 | 5/27 |
| A4B2 | 11/8 | 11/20 | 12/17 | 12/18 | 3/1 | 3/11 | 3/19 | 4/19 | 4/23 | 5/28 |
| A4B3 | 11/8 | 11/20 | 12/17 | 12/18 | 3/1 | 3/11 | 3/19 | 4/19 | 4/23 | 5/28 |
| 变量 | 成穗数 | 穗粒数 | 千粒重 | 株高 | 产量 |
|---|---|---|---|---|---|
| A | 0.245 | 6.291** | 10.782** | 340.822** | 383.570** |
| B | 8.996** | 0.673 | 1.921 | 0.751 | 37.717** |
| A×B | 3.055* | 1.166 | 0.879 | 0.894 | 133.886** |
| 变量 | 成穗数 | 穗粒数 | 千粒重 | 株高 | 产量 |
|---|---|---|---|---|---|
| A | 0.245 | 6.291** | 10.782** | 340.822** | 383.570** |
| B | 8.996** | 0.673 | 1.921 | 0.751 | 37.717** |
| A×B | 3.055* | 1.166 | 0.879 | 0.894 | 133.886** |
| 处理 | 成穗数/(万/hm2) | 穗粒数/粒 | 千粒重/g | 株高/cm | 产量/(kg/hm2) |
|---|---|---|---|---|---|
| A1B1 | 654.0a | 36.0a | 40.7a | 72.8a | 8557.0c |
| A1B2 | 663.0a | 35.0ab | 40.7a | 72.0a | 9651.0a |
| A1B3 | 661.5a | 33.7b | 40.6a | 72.7a | 9301.5b |
| A2B1 | 619.5b | 41.7a | 39.9a | 64.9a | 8173.5b |
| A2B2 | 669.0a | 37.6a | 39.7a | 65.3a | 9408.0a |
| A2B3 | 667.5a | 37.7a | 38.7a | 66.3a | 7890.5c |
| A3B1 | 613.5b | 39.1a | 39.9a | 60.5a | 8200.0a |
| A3B2 | 655.5ab | 38.1a | 38.9a | 59.3a | 6825.5b |
| A3B3 | 687.0a | 39.7a | 39.3a | 59.5a | 6596.5b |
| A4B1 | 657.0ab | 38.3a | 40.8a | 59.3a | 6240.0c |
| A4B2 | 627.0b | 40.7a | 41.0a | 59.3a | 7316.5b |
| A4B3 | 675.0a | 39.4a | 40.5a | 59.3a | 8521.5a |
| 处理 | 成穗数/(万/hm2) | 穗粒数/粒 | 千粒重/g | 株高/cm | 产量/(kg/hm2) |
|---|---|---|---|---|---|
| A1B1 | 654.0a | 36.0a | 40.7a | 72.8a | 8557.0c |
| A1B2 | 663.0a | 35.0ab | 40.7a | 72.0a | 9651.0a |
| A1B3 | 661.5a | 33.7b | 40.6a | 72.7a | 9301.5b |
| A2B1 | 619.5b | 41.7a | 39.9a | 64.9a | 8173.5b |
| A2B2 | 669.0a | 37.6a | 39.7a | 65.3a | 9408.0a |
| A2B3 | 667.5a | 37.7a | 38.7a | 66.3a | 7890.5c |
| A3B1 | 613.5b | 39.1a | 39.9a | 60.5a | 8200.0a |
| A3B2 | 655.5ab | 38.1a | 38.9a | 59.3a | 6825.5b |
| A3B3 | 687.0a | 39.7a | 39.3a | 59.5a | 6596.5b |
| A4B1 | 657.0ab | 38.3a | 40.8a | 59.3a | 6240.0c |
| A4B2 | 627.0b | 40.7a | 41.0a | 59.3a | 7316.5b |
| A4B3 | 675.0a | 39.4a | 40.5a | 59.3a | 8521.5a |
| 处理 | 成穗数/(万/hm2) | 穗粒数/粒 | 千粒重/g | 株高/cm | 产量/(kg/hm2) |
|---|---|---|---|---|---|
| A1B1 | 654.0a | 36.0a | 40.7a | 72.8a | 8557.0a |
| A2B1 | 619.5b | 41.7a | 39.9a | 64.9b | 8173.0b |
| A3B1 | 613.5b | 39.1a | 39.9a | 60.5c | 8200.0b |
| A4B1 | 657.0a | 38.3a | 40.8a | 59.3c | 6240.0c |
| A1B2 | 663.0a | 35.0b | 40.7a | 72.0a | 9651.0a |
| A2B2 | 669.0a | 37.6ab | 39.7ab | 65.3b | 9408.0b |
| A3B2 | 655.5a | 38.1ab | 38.9b | 59.3c | 6825.5d |
| A4B2 | 627.0a | 40.7a | 41.0a | 59.3c | 7316.5c |
| A1B3 | 661.5a | 33.7b | 40.6a | 72.7a | 9301.5a |
| A2B3 | 667.5a | 37.7ab | 38.7b | 66.3b | 7890.5c |
| A3B3 | 687.0a | 39.7a | 39.3ab | 59.5c | 6596.5d |
| A4B3 | 675.0a | 39.4a | 40.5a | 59.3c | 8521.5b |
| 处理 | 成穗数/(万/hm2) | 穗粒数/粒 | 千粒重/g | 株高/cm | 产量/(kg/hm2) |
|---|---|---|---|---|---|
| A1B1 | 654.0a | 36.0a | 40.7a | 72.8a | 8557.0a |
| A2B1 | 619.5b | 41.7a | 39.9a | 64.9b | 8173.0b |
| A3B1 | 613.5b | 39.1a | 39.9a | 60.5c | 8200.0b |
| A4B1 | 657.0a | 38.3a | 40.8a | 59.3c | 6240.0c |
| A1B2 | 663.0a | 35.0b | 40.7a | 72.0a | 9651.0a |
| A2B2 | 669.0a | 37.6ab | 39.7ab | 65.3b | 9408.0b |
| A3B2 | 655.5a | 38.1ab | 38.9b | 59.3c | 6825.5d |
| A4B2 | 627.0a | 40.7a | 41.0a | 59.3c | 7316.5c |
| A1B3 | 661.5a | 33.7b | 40.6a | 72.7a | 9301.5a |
| A2B3 | 667.5a | 37.7ab | 38.7b | 66.3b | 7890.5c |
| A3B3 | 687.0a | 39.7a | 39.3ab | 59.5c | 6596.5d |
| A4B3 | 675.0a | 39.4a | 40.5a | 59.3c | 8521.5b |
| [1] |
郭瑞, 李正玲, 张煜, 等. 30a来河南省不同类型小麦品种产量和农艺性状演变规律[J]. 河南农业科学, 2018, 47(4):15-20.
|
| [2] |
刘红杰, 倪永静, 陈玉霞, 等. 播期和播量对冬小麦‘国麦301’农艺性状及产量的影响[J]. 江苏农业科学, 2017, 45(14):49-53.
|
| [3] |
张福彦, 陈晓杰, 李好海, 等. 不同播期和密度对小麦新品种‘航宇19’产量及其构成要素的影响[J]. 山东农业科学, 2023, 55(8):27-33.
|
| [4] |
丁志强, 温红霞, 赵严, 等. 播期播量对超强筋小麦‘洛麦47’产量及生理指标的影响[J]. 农业科技通讯, 2024(9):85-90.
|
| [5] |
郭瑞, 齐学礼, 王会伟, 等. 金太龙叶面肥对强筋小麦品种产量和品质的效应分析[J]. 种子, 2018, 37(5):77-80.
|
| [6] |
盛坤, 张露雁, 郭玉强, 等. 行距对冬小麦品种‘新麦26’群体质量和产量的影响[J]. 河南农业科学, 2015, 44(3):26-30.
|
| [7] |
王志刚, 王瑾, 刘强. 不同降水年型下旱地春小麦产量及其构成因素对播期和日均温度变化响应的模拟分析[J]. 麦类作物学报, 2024, 44(11):1474-1481.
|
| [8] |
孙志刚, 任海英, 盛坤, 等. 种植密度对2种穗型冬小麦品种穗部性状的影响[J]. 安徽农业科学, 2015, 43(17):57-58.
|
| [9] |
张露雁, 盛坤, 乌云毕力格, 等. 种植密度对冬小麦产量及其构成因素的影响[J]. 山东农业科学, 2015, 47(3):30-32,36.
|
| [10] |
赵光杰. 播期和密度对‘扬麦25’产量及产量构成因子的影响[J]. 安徽农学通报, 2024, 12:5-8.
|
| [11] |
左西龙, 刘云飞, 王正波, 等. 不同播期对‘扬麦23’生长发育、产量及品质的影响[J]. 浙江农业科学, 2024, 65(11):2552-2557.
doi: 10.16178/j.issn.0528-9017.20230862 |
| [12] |
李倩, 张养利, 闫苗苗, 等. 播期播量氮肥三因子对‘渭麦9号’群体结构和籽粒品质的影响[J]. 中国农学通报, 2024, 40(9):25-29.
doi: 10.11924/j.issn.1000-6850.casb2023-0489 |
| [13] |
李晓航, 马华平. 不同播期和播量对冬小麦品种‘新麦29’产量形成的影响[J]. 中国农学通报, 2019, 35(29):14-19.
doi: 10.11924/j.issn.1000-6850.casb18050043 |
| [14] |
张慧成, 郭艳萍, 范春燕, 等. 不同播期对小麦品种‘西农511’生长发育及产量的影响[J]. 陕西农业科学, 2024, 70(7):45-49.
|
| [15] |
吕丽华, 吴立勇, 李谦, 等. 播期对小麦产量形成及株型结构的影响[J]. 华北农学报, 2024, 39(增刊):101-110.
|
| [16] |
尹逊栋, 吕广德, 亓晓蕾, 等. 播期对不同穗型冬小麦生长及产量的影响[J]. 中国农学通报, 2024, 40(24):9-16.
doi: 10.11924/j.issn.1000-6850.casb2024-0105 |
| [17] |
张伟, 史晓芳, 逯腊虎, 等. 播期和播量对小麦‘临农4357’生长发育及产量的影响[J]. 山西农业科学, 2024, 52(6):20-28.
|
| [18] |
韩同进, 郭灿, 张修引, 等. 不同播期对豫东地区小麦产量性状的影响[J]. 陕西农业科学, 2024, 70(5):43-47.
|
| [19] |
张慎举, 张静, 郭振升, 等. 豫东平原‘郑麦1860’不同播期播量试验的超高产效应[J]. 中国农学通报, 2024, 40(17):14-20.
doi: 10.11924/j.issn.1000-6850.casb2023-0567 |
| [20] |
赵花荣, 周广胜, 齐月, 等. 播期调整对华北北部冬小麦、夏玉米产量和品质的影响[J]. 中国农业科学, 2024, 57(15):2964-2985.
doi: 10.3864/j.issn.0578-1752.2024.15.005 |
| [21] |
张平平, 徐修奎, 宋桂成, 等. 不同播期和密度对‘宁洪麦452’产量及品质性状的影响[J]. 江西农业学报, 2024, 36(10):15-20.
|
| [22] |
游江华. 种植密度对小麦‘裕田麦119’的生长、产量和品质的影响[J]. 农业科技通讯, 2024, 11:65-68.
|
| [23] |
刘青姗, 刘娜, 邵立威, 等. 气候变化背景下有限供水冬小麦的适宜播期研究[J/OL]. 中国生态农业学报(中英文),1-15[2025-04-09]. http://kns.cnki.net/kcms/detail/13.1432.S.20240914.1451.001.html.
|
| [24] |
孙亚红, 周良玉, 顾睿, 等. 播期、播量及施肥水平对小麦生长及产量影响的试验研究[J]. 数字农业与智能农机, 2024, 6:87-89.
|
| [25] |
姚云峰, 华为, 沈华中, 等. 不同播期的氮肥运筹对小麦‘浙华1号’经济性状和产量的影响[J]. 浙江农业科学, 2024, 65(6):1333-1336.
doi: 10.16178/j.issn.0528-9017.20240185 |
| [1] | 葛礼姣, 仇亮, 程玉静, 王小秋, 翟彩娇, 王小龙. 株行距配置对‘百日子’萝卜主要农艺性状、产量及品质的影响[J]. 农学学报, 2026, 16(2): 16-22. |
| [2] | 李哲, 李广, 周晨莉, 张恒嘉. 膜下滴灌马铃薯调亏灌溉的研究进展[J]. 农学学报, 2026, 16(2): 54-58. |
| [3] | 朱晓翠, 李军, 胡波, 张晟宁, 郑健. 气象新质生产力助推奉化水蜜桃产业发展研究[J]. 农学学报, 2026, 16(2): 79-86. |
| [4] | 刘开基, 王瑞平, 刘建萍, 李亚贞, 熊文, 韩德鹏, 程业伟, 郑伟, 肖国滨. 三熟制油菜谷林飞套播开沟方式对油菜生育及产量的影响[J]. 农学学报, 2026, 16(2): 9-15. |
| [5] | 赵加涛, 郭勉艳, 刘猛道, 付正波. 刈割时期对大麦饲草产量和品质的影响[J]. 农学学报, 2026, 16(1): 1-6. |
| [6] | 崔雄飞, 王玉才, 吕翔, 王晓峰, 李雪芳, 雷慧敏, 郭辉. 水氮耦合对土壤硝态氮及黄芪生长的影响研究进展[J]. 农学学报, 2026, 16(1): 33-38. |
| [7] | 王秋京, 马国忠, 姜丽霞, 初征, 余兰, 闫平. 新气候态下夏季热量资源变化对寒地水稻生育期和产量的影响[J]. 农学学报, 2026, 16(1): 90-98. |
| [8] | 邱凯莉, 孟傲雪, 杨启睿, 耿赛男, 王宜伦. 新型尿素对高产夏玉米产量及氮肥效率的影响[J]. 农学学报, 2025, 15(9): 44-49. |
| [9] | 周忠文, 齐月, 刘英, 雷俊. 播期调整对黄土高原半干旱区春玉米产量和品质的影响[J]. 农学学报, 2025, 15(9): 6-13. |
| [10] | 王剑峰, 李玥. 施氮量对胡麻产量及千粒重影响的Meta分析[J]. 农学学报, 2025, 15(9): 71-79. |
| [11] | 武丹, 唐丽娜, 王静, 蒙元燕, 张小龙, 刘丽, 吴冬, 黄国嫣, 张秀英, 蔡荣靖, 许留兴. 气候因子对昭通苹果产量和品质的影响[J]. 农学学报, 2025, 15(9): 84-91. |
| [12] | 韩明明, 吕连杰, 李文倩, 张海军. 灌溉方式及肥料处理对冬小麦生长发育及产量的影响[J]. 农学学报, 2025, 15(8): 1-5. |
| [13] | 张君莉, 王瑶, 夏琼梅, 朱海平, 龙瑞平, 李贵勇, 邓安凤, 杜晨晴, 杨从党. 氮肥运筹对‘超优千号’产量和产量构成因素的影响[J]. 农学学报, 2025, 15(8): 23-29. |
| [14] | 赵士花, 杨宁, 郝冉冉, 韩晴, 赵会侠, 褚衍仕, 孙炜翔, 赵作胜, 龙启源, 龙启健. 畜禽粪肥对越冬茬茄子农艺性状和产量的影响[J]. 农学学报, 2025, 15(8): 64-68. |
| [15] | 王金秀, 刘家斌, 林琪, 刘义国, 周圆, 段文萍, 耿兴华, 李玲燕, 师长海. 播期对藜麦农艺性状、产量和品质的影响[J]. 农学学报, 2025, 15(7): 1-7. |
| 阅读次数 | ||||||
|
全文 |
|
|||||
|
摘要 |
|
|||||